| CAS No: | 30583-72-3 | Nama lain: | 2,2-Bis (4-hydroxyclohexyl) propana, polimer epiklorohidrin |
|---|---|---|---|
| Kelas standar: | Kelas industri | Aplikasi: | bahan insulasi listrik luar ruangan, lapisan struktur baja |
| Penampilan: | Berwarna cairan transparan sedikit kuning | Nilai Epoksi: | 0,42-0,46 eq / 100g |
| Maks. Hydrolyzable Chloride maks: | 0,2% | Maks. Klor Anorganik maks: | 50ppm |
| Maksimum kadar air: | 0,1% | ||
| Menyoroti: | 30583 72 3 |
||
Xinyuan Chemical Hydrogenated Bisphenol A Polymer Dengan Epichlorohydrin
Bisphenol A terhidrogenasi A Resin epoksi
1. Deskripsi
Nama kimia: hydrogenated bisphenol A resin epoksi
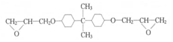
Struktur molekul:

Nomor CAS: 30583-72-3
Karakter Fisik dan Kimia: cairan transparan tidak berwarna sampai agak kuning
2. Lembar Data Teknis
| Barang | Satuan | Spesifikasi. |
| Warna | APHA | ≤ 60 |
| Viskositas | mPa.s (25 ℃) | 1500-4000 |
| Nilai Epoksi | Persamaan / 100g | 0,42-0,46 |
| Hydrolyzable Chloride | % | ≤ 0,20 |
| Klor Anorganik | mg / kg | ≤ 50 |
| Konten kelembaban | % | ≤ 0,10 |
3. Aplikasi
Tahan UV, viskositas rendah alternatif untuk resin Standard Bis A, aplikasi termasuk pelapukan lapuk sebagai pengganti pelapis uretan, adhesi yang sangat baik untuk logam, dan untuk digunakan untuk bahan isolasi listrik luar ruangan, tangki luar, lapisan struktur baja dan bahan pengisi bendungan beton.
4. Pengepakan
- Dikemas dalam 20 kg / barel, 200 kg / barel atau 1000kgs / wadah IBC.
- Penyimpanan dan transportasi harus sesuai dengan persyaratan dasar bahan kimia normal.
- Simpan di tempat yang sejuk, kering, dan berventilasi baik. Jauhkan dari sumber api, panas, nyala, dan sinar matahari.
- Perlunya mempertahankan isolasi (segel rapat) setelah digunakan, untuk menghindari pengaruh negatif yang timbul dari penyerapan air.
5. Simpan wadah tertutup rapat di tempat yang kering dan berventilasi baik. Jauhkan dari panas. Jauhkan dari makanan, minuman, dan makanan hewan. Simpan sesuai dengan peraturan setempat.